
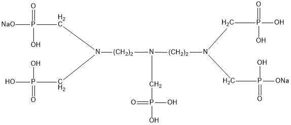
Sodium salt of Diethylene Triamine Penta (Methylene Phosphonic Acid) (DTPMP¡¤Na2)
CAS No.22042-96-2 ·Ö×Óʽ C9H26O15N3P5Na2
½á¹¹Ê½
DTPMP¡¤Na2ÓÉDTPMPµÄ²î±ðÐÎÊ½ÄÆÑÎ×é³É£¬£¬£¬£¬£¬DTPMP¡¤Na2¿ÉÓÃ×÷×蹸¼Á¡¢¸ßЧòüºÏ¼Á¡¢ÓÅÁ¼µÄBaSO4×蹸¼Á£¬£¬£¬£¬£¬ÆÕ±éÓÃÓÚÀäÈ´Ë®´¦Öóͷ£¡¢¹ýÑõ»¯ÎïÆ¯°×µÄÎȹ̼Á¡¢Ï´µÓÖú¼Á¡¢ÊÐÕþ¹¤ÒµÇå½àÓÃË®¡¢µØÈÈË®´¦Öóͷ£¡¢ÓÍÌï×蹸¡£¡£¡£¡£¡£
| Ïî Ä¿ | Ö¸ ±ê |
| Íâ ¹Û | ºì×ØÉ«Í¸Ã÷ÒºÌå |
| »îÐÔ×é·Ö£¨ÒÔDTPMPA¼Æ£©/% | 45.0¡«49.0 |
| ×ÜÁ×£¨ÒÔPO43-¼Æ£©/% | 37.0¡«40.0 |
| pHÖµ£¨1%Ë®ÈÜÒº£© | 2.0¡«3.0 |
| Ãܶȣ¨20¡æ£©/g¡¤cm-3 | 1.37¡«1.47 |
| ÂÈ»¯Îï (ÒÔCl-¼Æ) /% | ¡Ü5.0 |
| Feº¬Á¿(ÒÔFe¼Æ) /mg¡¤L-1 | ¡Ü20.0 |
DTPMP¡¤Na2ÓÃËÜÁÏͰ°ü×°£¬£¬£¬£¬£¬Ã¿Í°30kg »ò250kg£¬£¬£¬£¬£¬Ò²¿Éƾ֤Óû§ÐèҪȷ¶¨¡£¡£¡£¡£¡£ÖüÓÚÊÒÄÚÒõÁ¹´¦£¬£¬£¬£¬£¬Öü´æÆÚÊ®¸öÔ¡£¡£¡£¡£¡£
DTPMP¡¤Na2ΪÈõËáÐÔ£¬£¬£¬£¬£¬²Ù×÷Ê±×¢ÖØÀͶ¯±£»£»£»£»£»£»£»£»¤£¬£¬£¬£¬£¬Ó¦×èÖ¹ÓëÆ¤·ô¡¢ÑÛ¾¦µÈ½Ó´¥£¬£¬£¬£¬£¬½Ó´¥ºóÓôó×ÚÇåË®³åÏ´¡£¡£¡£¡£¡£