97622¹ú¼ÊÖÁ×ðÆ·ÅÆ

97622¹ú¼ÊÖÁ×ðÆ·ÅÆ(ÖйúÇø)-¹Ù·½ÍøÕ¾

¶þÒÒÏ©Èý°·Îå¼×²æì¢ËáDTPMPA

Diethylene Triamine Penta (Methylene Phosphonic Acid) (DTPMPA)

CAS No. 15827-60-8

ÓÖÃû£º¶þÒÒÏ©Èý°·ÎåÑǼ׻ùì¢Ë᣻£»£»£»£»DETPMP£»£»£»£»£»¶þÑÇÒÒ»ùÈý°±»ùÎå¼×»ùÁ×Ë᣻£»£»£»£»

     ¶þÒÒ³ÅÈý°·ÎåÑǼ׻ùì¢Ëá

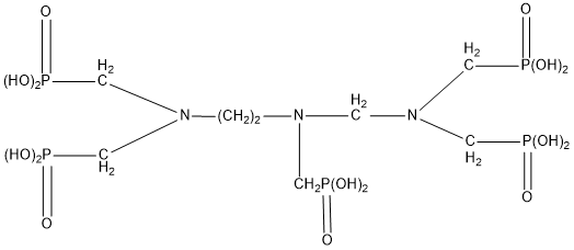
·Ö×Óʽ  C9H28O15N3P5                  Ïà¶Ô·Ö×ÓÖÊÁ¿£º573.2

½á¹¹Ê½
¶þÒÒÏ©Èý°·Îå¼×²æì¢ËᣨDTPMPA£©

Ò»¡¢ÐÔÄÜÓëÓÃ;

DTPMPAÎÞ¶¾ £¬£¬£¬£¬£¬£¬£¬£¬Ò×ÈÜÓÚËáÐÔÈÜÒºÖÐ £¬£¬£¬£¬£¬£¬£¬£¬×蹸»ºÊ´Ð§¹û¾ã¼ÑÇÒÄÍÎÂÐԺà £¬£¬£¬£¬£¬£¬£¬£¬¿ÉÒÖÖÆÌ¼ËáÑΡ¢ÁòËáÑι¸µÄÌìÉú £¬£¬£¬£¬£¬£¬£¬£¬ÔÚ¼îÐÔÇéÐκ͸ßÎÂÏÂ(210¡æÒÔÉÏ)×蹸»ºÊ´ÐÔÄÜ½ÏÆäËüÓлú좺ᣡ£¡£¡£¡£¡£¡£DTPMPAÔÚË®´¦Öóͷ£ÖÐÓÃ×÷Ñ­»·ÀäÈ´Ë®ºÍ¹øÂ¯Ë®µÄ×蹸»ºÊ´¼Á £¬£¬£¬£¬£¬£¬£¬£¬ÌØÊâÊÊÓÃÓÚ¼îÐÔÑ­»·ÀäÈ´Ë®ÖÐ×÷Ϊ²»µ÷pHµÄ×蹸»ºÊ´¼Á £¬£¬£¬£¬£¬£¬£¬£¬²¢¿ÉÓÃÓÚº¬Ì¼Ëá±µ¸ßµÄÓÍÌïעˮºÍÀäÈ´Ë®¡¢¹øÂ¯Ë®µÄ×蹸»ºÊ´¼Á£»£»£»£»£»ÔÚ¸´ÅäÒ©¼ÁÖе¥¶ÀʹÓñ¾Æ· £¬£¬£¬£¬£¬£¬£¬£¬ÎÞÐèͶ¼ÓÊèÉ¢¼Á £¬£¬£¬£¬£¬£¬£¬£¬ÎÛ¹¸³Á»ýÁ¿ÈÔºÜС¡£¡£¡£¡£¡£¡£¡£

DTPMPAÒ²¿ÉÓÃ×÷¹ýÑõ»¯ÎïÎȹ̼Á(ÌØÊâÊǸßÎÂÌõ¼þÏÂË«ÑõË®ÎȹÌЧ¹ûºÃ)¡¢·Ä֯ӡȾÓÃòüºÏ¼Á¡¢ÑÕÁϵÄÊèÉ¢¼Á¡¢ÑõÍÑÄ¾ËØÎȹ̼Á¡¢»¯·ÊÖÐ΢Á¿ÔªËØÐ¯´ø¼Á¡¢»ìÄýÍÁÌí¼Ó¼Á¡£¡£¡£¡£¡£¡£¡£±ðµÄ £¬£¬£¬£¬£¬£¬£¬£¬ÔÚÔìÖ½¡¢µç¶Æ¡¢½ðÊôËáÏ´ºÍ»¯×±Æ·µÈ·½ÃæÒ²»ñµÃÁËÆÕ±éÓ¦Óᣡ£¡£¡£¡£¡£¡£»£»£»£»£»¹¿É×÷Ñõ»¯ÐÔɱ¾ú¼ÁµÄÎȹ̼Á¡£¡£¡£¡£¡£¡£¡£

¶þ¡¢ÊÖÒÕÖ¸±ê ÇкÏHG/T 3777-2023

Ïî  Ä¿ Ö¸  ±ê
HG/T 3777-2023
Íâ ¹Û ×Ø»ÆÉ«»òרºìɫճ³íÒºÌå
»îÐÔ×é·Ö/% ¡Ý 50.0
¸ÆòüºÏ¼Á(ÒÔCaCO3¼Æ) / (mg/g) ¡Ý 450
ÑÇÁ×Ëá(ÒÔPO33-¼Æ)/% ¡Ü3.0
ÂÈ»¯Îï(ÒÔCl-¼Æ)/% 14.0¡«17.0
Ìú£¨ÒÔFe£©º¬Á¿/£¨¦Ìg/g£© ¡Ü 20.0
pHÖµ(10 g/L Ë®ÈÜÒº) ¡Ü 2.0
ÃܶÈ(20¡æ)/(g/cm3) ¡Ý 1.35

Èý¡¢Ê¹ÓÃÒªÁì

DTPMPA×÷×蹸¼ÁÒ»Ñùƽ³£Ê¹ÓÃŨ¶È1¡«30mg/L £¬£¬£¬£¬£¬£¬£¬£¬×÷ϴ媼ÁÒ»Ñùƽ³£Ê¹ÓÃŨ¶È1000¡«2000mg/L£»£»£»£»£»Í¨³£Óë¾ÛôÈËáÐÍ×蹸ÊèÉ¢¼ÁÅäºÏʹÓᣡ£¡£¡£¡£¡£¡£ÔÚÆäËûÐÐҵʹÓÃʱ £¬£¬£¬£¬£¬£¬£¬£¬Ó¦Æ¾Ö¤ÊÔÑéÈ·¶¨ ÓÃÁ¿¡£¡£¡£¡£¡£¡£¡£

ËÄ¡¢°ü×°ÓëÖü´æ

DTPMPAÓÃËÜÁÏͰ°ü×° £¬£¬£¬£¬£¬£¬£¬£¬Ã¿Í°30kg»òƾ֤Óû§ÐèҪȷ¶¨¡£¡£¡£¡£¡£¡£¡£ÖüÓÚÊÒÄÚÒõÁ¹´¦ £¬£¬£¬£¬£¬£¬£¬£¬Öü´æÆÚΪʮ¶þ¸öÔ¡£¡£¡£¡£¡£¡£¡£

Îå¡¢Çå¾²·À»¤

DTPMPAΪËáÐÔ £¬£¬£¬£¬£¬£¬£¬£¬²Ù×÷Ê±×¢ÖØÀͶ¯±£»£»£»£»£»¤ £¬£¬£¬£¬£¬£¬£¬£¬Ó¦×èÖ¹ÓëÆ¤·ô¡¢ÑÛ¾¦µÈ½Ó´¥ £¬£¬£¬£¬£¬£¬£¬£¬½Ó´¥ºóÓôó×ÚÇåË®³åÏ´¡£¡£¡£¡£¡£¡£¡£

¡¡
Òªº¦×Ö£ºDTPMPA £¬£¬£¬£¬£¬£¬£¬£¬DETPMP £¬£¬£¬£¬£¬£¬£¬£¬¶þÒÒÏ©Èý°·Îå¼×²æì¢Ëá £¬£¬£¬£¬£¬£¬£¬£¬DTPMP £¬£¬£¬£¬£¬£¬£¬£¬¶þÒÒÏ©Èý°·ÎåÑǼ׻ùì¢Ëá DTPMPA £¬£¬£¬£¬£¬£¬£¬£¬DTPMPÄÆÑÎ DTPMP¡¤Na5 £¬£¬£¬£¬£¬£¬£¬£¬DTPMP¡¤Na7 £¬£¬£¬£¬£¬£¬£¬£¬DTPMP¡¤Nax £¬£¬£¬£¬£¬£¬£¬£¬DTPMPA
ÏúÊÛÈÈÏߣº0632-5113088      ÏúÊÛ´«Õ棺 0632-5113155
µØÖ·£ºÉ½¶«Ê¡Ôæ×¯ÊÐÊÐÖÐÇøÊ®ÀïȪ¶«Â·1ºÅ     ÍøÖ·£ºhttp://www.thwater.com      E-mail£ºth@thwater.com
°æÈ¨ËùÓЩ £º2006-2021 97622¹ú¼ÊÖÁ×ðÆ·ÅÆ ³ICP±¸09091669ºÅ-43
ÍøÕ¾µØÍ¼