97622¹ú¼ÊÖÁ×ðÆ·ÅÆ

97622¹ú¼ÊÖÁ×ðÆ·ÅÆ(ÖйúÇø)-¹Ù·½ÍøÕ¾

2-ì¢Ëá¶¡Íé-1£¬£¬£¬ £¬£¬£¬2£¬£¬£¬ £¬£¬£¬4-ÈýôÈËáPBTCA

2-Phosphonobutane -1,2,4-Tricarboxylic Acid (PBTCA)

CAS No. 37971-36-1

ÓÖÃû£º1,2,4-ÈýôÈËá-2-ì¢Ëá»ù¶¡Í飻£»£»£»£»PBTC£»£»£»£»£»2-ì¢õ£»£»£»£»£»ù-1,2,4-¶¡ÍéÈýôÈË᣻£»£»£»£»ì¢õ£»£»£»£»£»ù¶¡ÍéÈýôÈË᣻£»£»£»£»

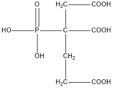
·Ö×Óʽ  C7H11O9P                     Ïà¶Ô·Ö×ÓÖÊÁ¿£º270.13

½á¹¹Ê½
2-ì¢Ëá¶¡Íé-1£¬£¬£¬£¬£¬£¬2£¬£¬£¬£¬£¬£¬4-ÈýôÈËᣨPBTCA£©½á¹¹Ê½

Ò»¡¢ÐÔÄÜÓëÓÃ;

PBTCAº¬Á×Á¿µÍ£¬£¬£¬ £¬£¬£¬ÓÉÓÚËü¾ßÓÐì¢ËáºÍôÈËáµÄ½á¹¹ÌØÕ÷£¬£¬£¬ £¬£¬£¬Ê¹Æä¾ßÓÐÓÅÒìµÄ×蹸»ººÍÊ´ÐÔÄÜ£¬£¬£¬ £¬£¬£¬ÓÅÓÚ³£ÓõÄÓлúì¢Ëᣬ£¬£¬ £¬£¬£¬ÌØÊâÔÚ¸ßÎÂÏÂ×蹸ÐÔÄÜÔ¶ÓÅÓÚ³£ÓõÄÓлúì¢Ëᣬ£¬£¬ £¬£¬£¬ÄÜÌá¸ßпµÄÏûÈÚ¶È£¬£¬£¬ £¬£¬£¬ÄÍÂȵÄÑõ»¯ÐÔÄܺ㬣¬£¬ £¬£¬£¬¸´ÅäЭͬÐԺᣡ£¡£¡£¡£¡£PBTCAÔÚ¸ßЧ×蹸»ºÊ´¼Á¸´ÅäÖÐÓ¦ÓùæÄ£¹ã£¬£¬£¬ £¬£¬£¬ÐÔÄÜÓÅÔ½£¬£¬£¬ £¬£¬£¬Ò²ÊÇпÑεÄÓÅÁ¼Îȹ̼Á¡£¡£¡£¡£¡£¡£ÆÕ±éÓ¦ÓÃÓÚÑ­»·ÀäȴˮϵͳºÍÓÍÌïעˮϵͳµÄ»ºÊ´×蹸£¬£¬£¬ £¬£¬£¬ÌØÊâÊʺÏÓëпÑΡ¢¹²¾ÛÎ︴ÅäʹÓ㬣¬£¬ £¬£¬£¬¿ÉÓÃÓÚ¸ßΡ¢¸ßÓ²¡¢¸ß¼î¼°ÐèÒª¸ßŨËõ±¶ÊýÏÂÔËÐеij¡ºÏ£¬£¬£¬ £¬£¬£¬PBTCAÔÚÏ´µÓÐÐÒµÖпÉ×÷òüºÏ¼Á¼°½ðÊôϴ媼Á¡£¡£¡£¡£¡£¡£

¶þ¡¢ÊÖÒÕÖ¸±ê ÇкÏHG/T 3662-2010

Ïî  Ä¿ Ö¸  ±ê
HG/T 3662-2010
Íâ ¹Û ÎÞÉ«ÖÁµ­»ÆÉ«Í¸Ã÷ÒºÌå
»îÐÔ×é·Ö£¨ÒÔPBTCA¼Æ£©/% ¡Ý50.0
ÑÇÁ×ËᣨÒÔPO33-¼Æ£©/% ¡Ü0.5
ÕýÁ×ËᣨÒÔPO43-¼Æ£©/% ¡Ü0.2
pHÖµ£¨1%Ë®ÈÜÒº£© 1.5¡«2.0
Ãܶȣ¨20¡æ£©/g¡¤cm-3 ¡Ý1.27
Feº¬Á¿(ÒÔFe¼Æ) /mg¡¤L-1 ¡Ü10.0
ÂÈ»¯ÎﺬÁ¿£¨ÒÔCl-¼Æ£© /mg¡¤L-1 ¡Ü10.0

Èý¡¢Ê¹ÓÃÒªÁì

PBTCAÒ»Ñùƽ³£ÓëпÑΡ¢¹²¾ÛÎï¡¢ÓлúÁס¢ßòÀàµÈÆäËüË®´¦Öóͷ£¼Á¸´ÅäʹÓᣡ£¡£¡£¡£¡£Èçµ¥¶ÀʹÓÃͶ¼Ó¼ÁÁ¿Îª5~15mg/L¡£¡£¡£¡£¡£¡£

ËÄ¡¢°ü×°ÓëÖü´æ

PBTCAÓÃËÜÁÏͰ°ü×°£¬£¬£¬ £¬£¬£¬Ã¿Í°25Kg»ò250Kg¡£¡£¡£¡£¡£¡£Öü´æÓÚÊÒÄÚÒõÁ¹´¦¡£¡£¡£¡£¡£¡£Öü´æÆÚÊ®¶þ¸öÔ¡£¡£¡£¡£¡£¡£

Îå¡¢Çå¾²·À»¤

PBTCAΪËáÐÔ£¬£¬£¬ £¬£¬£¬²Ù×÷Ê±×¢ÖØÀͶ¯±£»£»£»£»£»¤£¬£¬£¬ £¬£¬£¬Ó¦×èÖ¹ÓëÆ¤·ô¡¢ÑÛ¾¦µÈ½Ó´¥£¬£¬£¬ £¬£¬£¬½Ó´¥ºóÓôó×ÚÇåË®³åÏ´¡£¡£¡£¡£¡£¡£

Òªº¦×Ö£ºPBTCA,ì¢õ£»£»£»£»£»ù¶¡ÍéÈýôÈËᣬ£¬£¬ £¬£¬£¬2-ì¢Ëá¶¡Íé-1£¬£¬£¬ £¬£¬£¬2£¬£¬£¬ £¬£¬£¬4-ÈýôÈËᣬ£¬£¬ £¬£¬£¬PBTCA¡¤Na4£¬£¬£¬ £¬£¬£¬òüºÏ¼Á£¬£¬£¬ £¬£¬£¬PBTCA
ÏúÊÛÈÈÏߣº0632-5113088      ÏúÊÛ´«Õ棺 0632-5113155
µØÖ·£ºÉ½¶«Ê¡Ôæ×¯ÊÐÊÐÖÐÇøÊ®ÀïȪ¶«Â·1ºÅ     ÍøÖ·£ºhttp://www.thwater.com      E-mail£ºth@thwater.com
°æÈ¨ËùÓЩ £º2006-2021 97622¹ú¼ÊÖÁ×ðÆ·ÅÆ ³ICP±¸09091669ºÅ-43
ÍøÕ¾µØÍ¼