97622¹ú¼ÊÖÁ×ðÆ·ÅÆ

97622¹ú¼ÊÖÁ×ðÆ·ÅÆ(ÖйúÇø)-¹Ù·½ÍøÕ¾

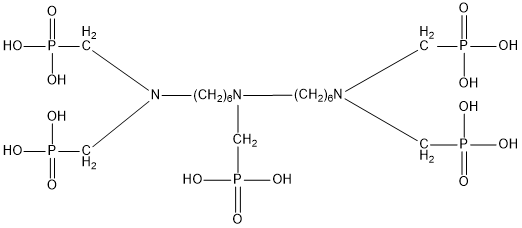
Ë«1£¬ £¬£¬ £¬£¬£¬6-ÑǼº»ùÈý°·Îå¼×²æì¢ËáBHMTPMPA

Bis(Hexamethylene Triamine Penta (Methylene Phosphonic Acid))BHMTPMPA

CAS No. 34690-00-1

ÓÖÃû£º¶þ¼ºÏ©Èý°·ÎåÑǼ׻ùì¢Ëá¡¢¶þÑÇÒÑ»ùÈý°·ÎåÑǼ׻ùÁ×Ëá

·Ö×Óʽ  C17H44O15N3P5                    Ïà¶Ô·Ö×ÓÖÊÁ¿£º685

½á¹¹Ê½
Ë«1£¬£¬£¬£¬£¬£¬6-ÑǼº»ùÈý°·Îå¼×²æì¢ËᣨBHMTPMPA£©½á¹¹Ê½

Ò»¡¢ÐÔÄÜÓëÓÃ;£º

BHMTPMPAÊǸßЧµÄòüºÏÐÍ×蹸¼Á£¬ £¬£¬ £¬£¬£¬¶Ô̼ËáÑι¸ºÍÁòËáÑι¸¾ßÓÐÓÅÒìµÄ×蹸Ч¹û ¡£¡£¡£¡£¡£ ¡£¡£¡£ BHMTPMPAÔڽϿíµÄPH¹æÄ£ºÍ120¡æ¸ßÎÂÏÂÓм«¼ÑµÄË®ÈÜÐÔºÍÈÈÎȹÌÐÔ£¬ £¬£¬ £¬£¬£¬¶Ô¸ÆÀë×ÓÈÝÈÌ¶È¸ß ¡£¡£¡£¡£¡£ ¡£¡£¡£BHMTPMPAÓÃ×÷ÓÍÌïË®´¦Öóͷ£µÄ»ºÊ´×蹸¼Á£¬ £¬£¬ £¬£¬£¬¹¤ÒµÑ­»·ÀäÈ´Ë®ºÍ¹øÂ¯Ë®µÄ×蹸»ºÊ´¼Á ¡£¡£¡£¡£¡£ ¡£¡£¡£

¶þ¡¢ÊÖÒÕÖ¸±ê  ÇкÏHG/T 22591-2008

Ïî  Ä¿ Ö¸  ±ê
GB/T 22591-2008
Íâ ¹Û ÉîçúçêɫҺÌå
»îÐÔ×é·Ö/% 45.0¡«50.0
ÑÇÁ×Ëá(ÒÔPO33-¼Æ)/% ¡Ü3.5
ÂÈ»¯ÎÒÔCl-¼Æ£©/% ¡Ü6.0
pH(1%Ë®ÈÜÒº) ¡Ü2.0
ÃܶÈ(20¡æ) /g¡¤cm-3 ¡Ý1.20
Feº¬Á¿(ÒÔFe¼Æ) /mg¡¤L-1 ¡Ü35.0

Èý¡¢Ê¹ÓÃÒªÁì

µ¥¶ÀʹÓûòÓë¾ÛôÈËáÐÍ×蹸ÊèÉ¢¼ÁÅäºÏʹÓà ¡£¡£¡£¡£¡£ ¡£¡£¡£

ËÄ¡¢°ü×°ÓëÖü´æ

BHMTPMPAÓÃËÜÁÏͰ°ü×°£¬ £¬£¬ £¬£¬£¬Ã¿Í°25kg»òƾ֤Óû§ÐèҪȷ¶¨ ¡£¡£¡£¡£¡£ ¡£¡£¡£BHMTPMPAÖüÓÚÊÒÄÚÒõÁ¹´¦£¬ £¬£¬ £¬£¬£¬Öü´æÆÚΪʮ¶þ¸öÔ ¡£¡£¡£¡£¡£ ¡£¡£¡£

Îå¡¢Çå¾²·À»¤

BHMTPMPAΪËáÐÔ£¬ £¬£¬ £¬£¬£¬²Ù×÷Ê±×¢ÖØÀͶ¯±£»£»£»£»£» £»£»¤£¬ £¬£¬ £¬£¬£¬Ó¦×èÖ¹ÓëÆ¤·ô¡¢ÑÛ¾¦µÈ½Ó´¥£¬ £¬£¬ £¬£¬£¬½Ó´¥ºóÓôó×ÚÇåË®³åÏ´ ¡£¡£¡£¡£¡£ ¡£¡£¡£


Ïà¹ØÍÆ¼ö£º
BHMTPMPA

ÏúÊÛÈÈÏߣº0632-5113088      ÏúÊÛ´«Õ棺 0632-5113155
µØÖ·£ºÉ½¶«Ê¡Ôæ×¯ÊÐÊÐÖÐÇøÊ®ÀïȪ¶«Â·1ºÅ     ÍøÖ·£ºhttp://www.thwater.com      E-mail£ºth@thwater.com
°æÈ¨ËùÓЩ £º2006-2021 97622¹ú¼ÊÖÁ×ðÆ·ÅÆ ³ICP±¸09091669ºÅ-43
ÍøÕ¾µØÍ¼